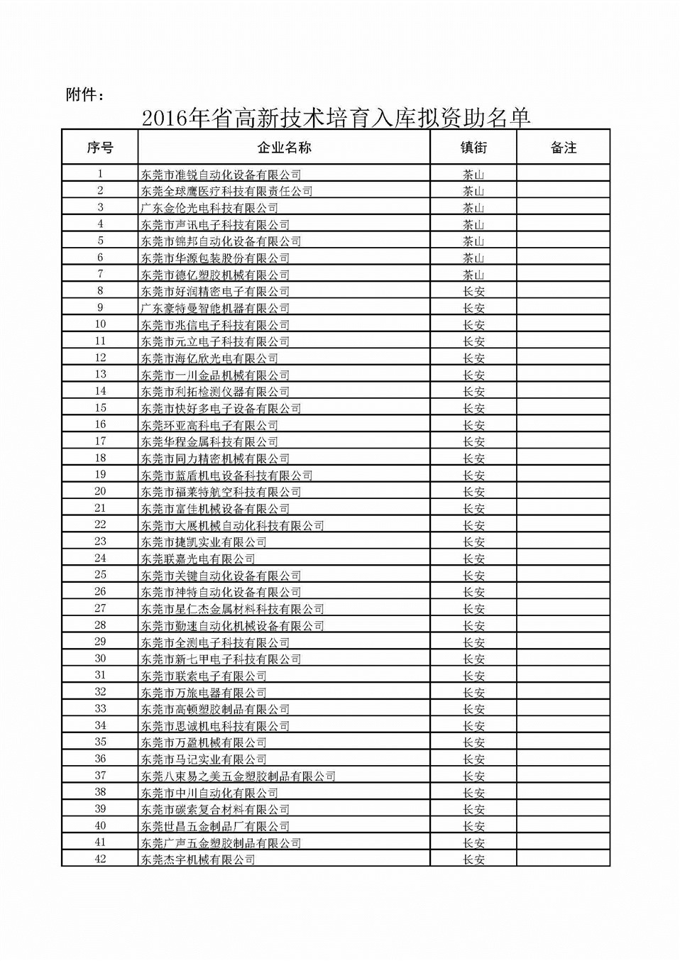
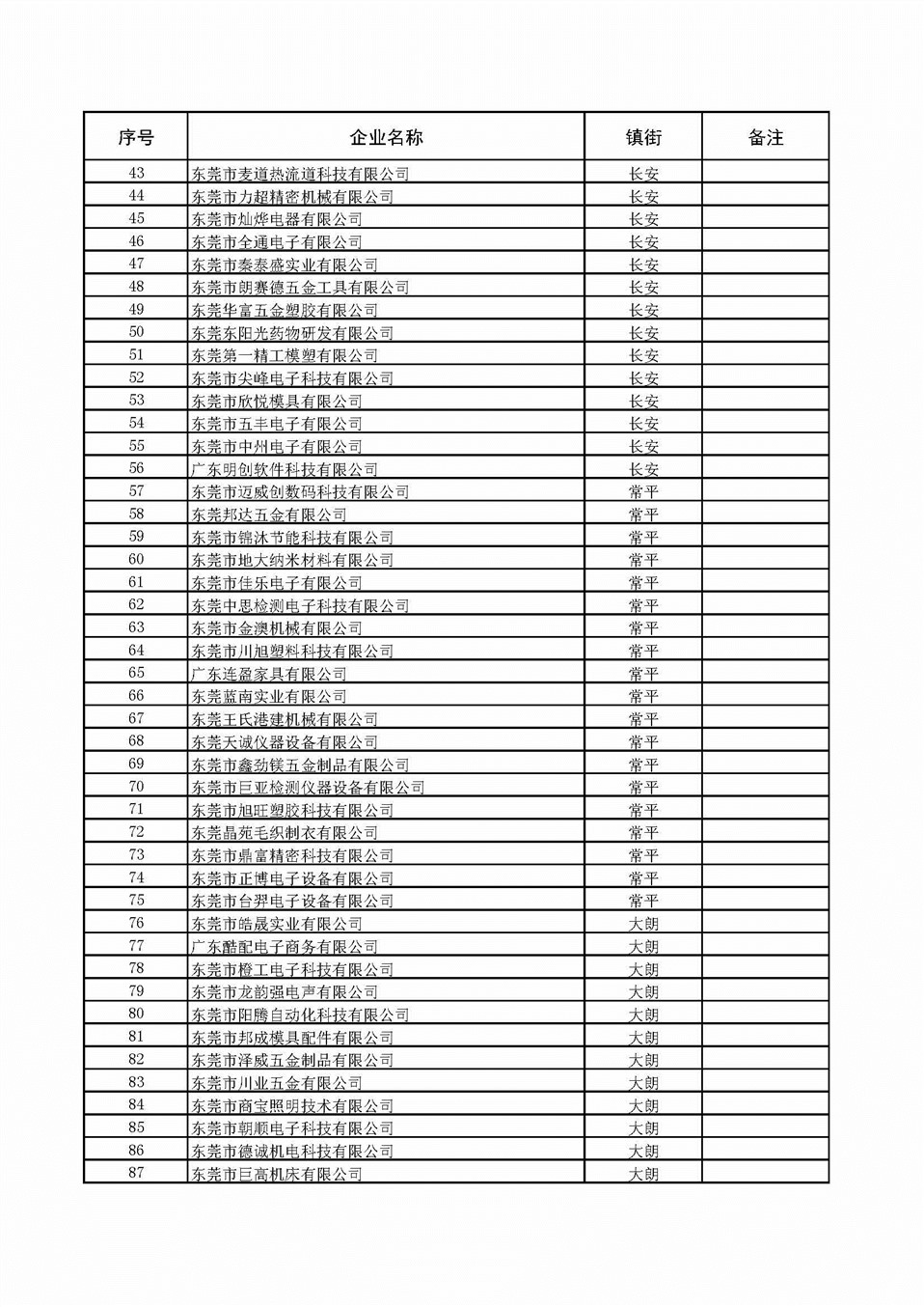
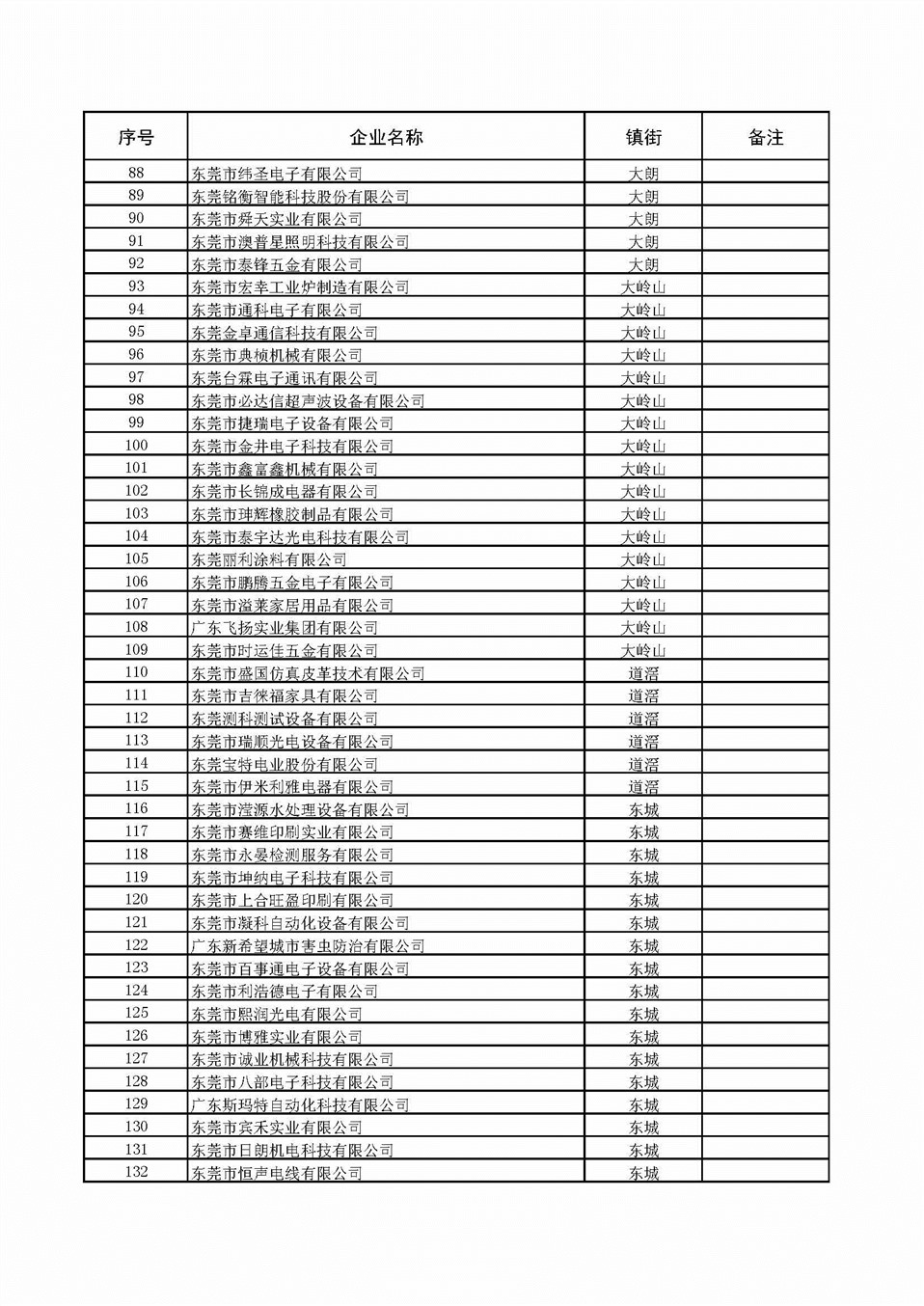
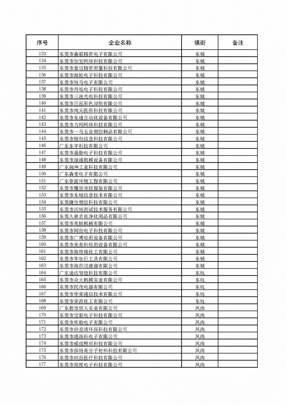
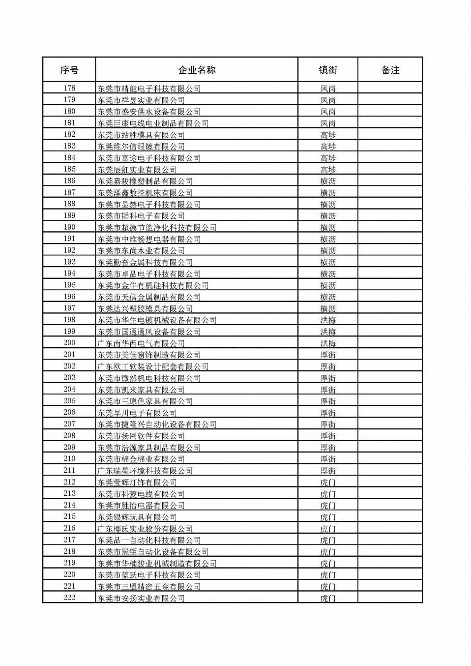
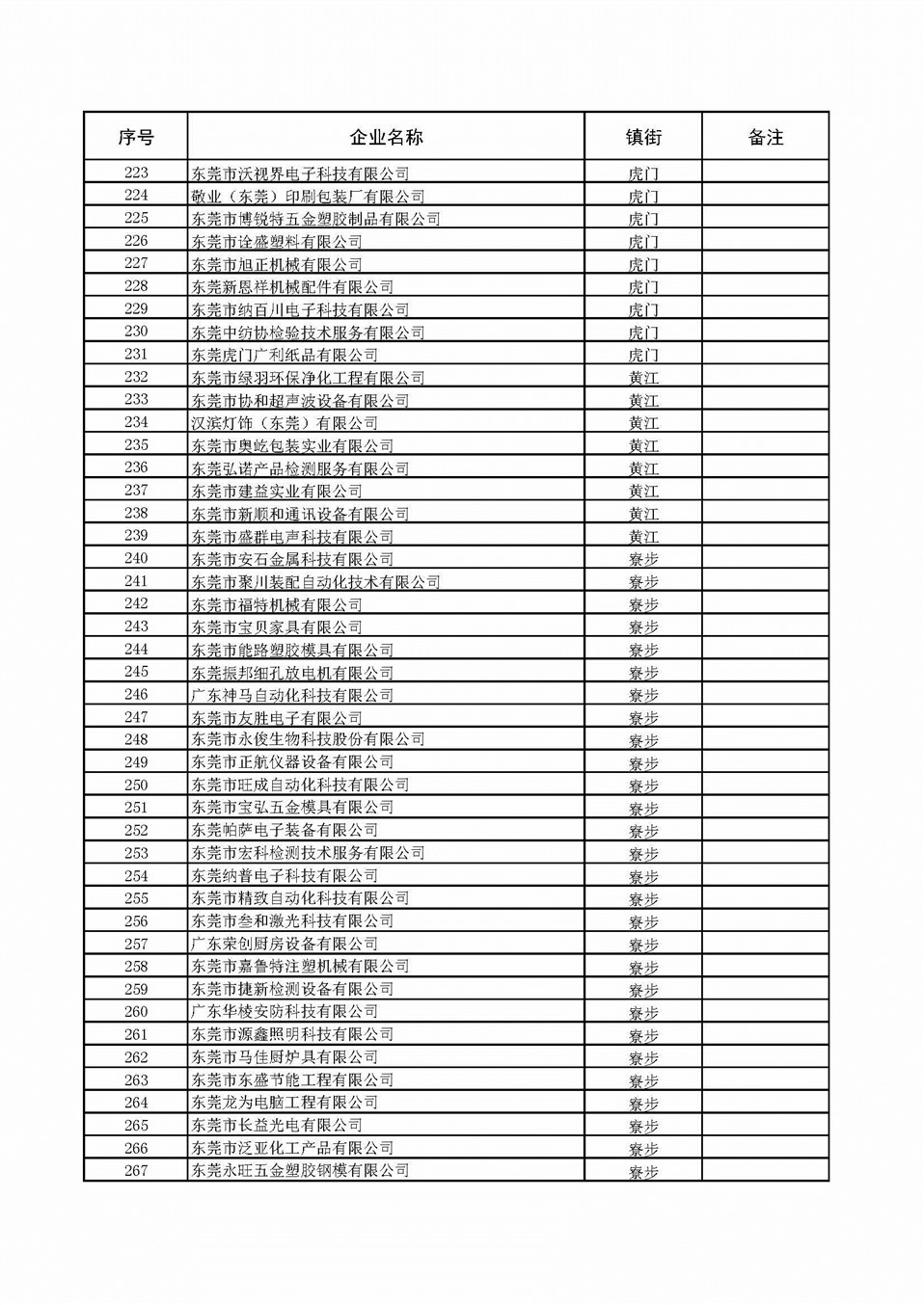
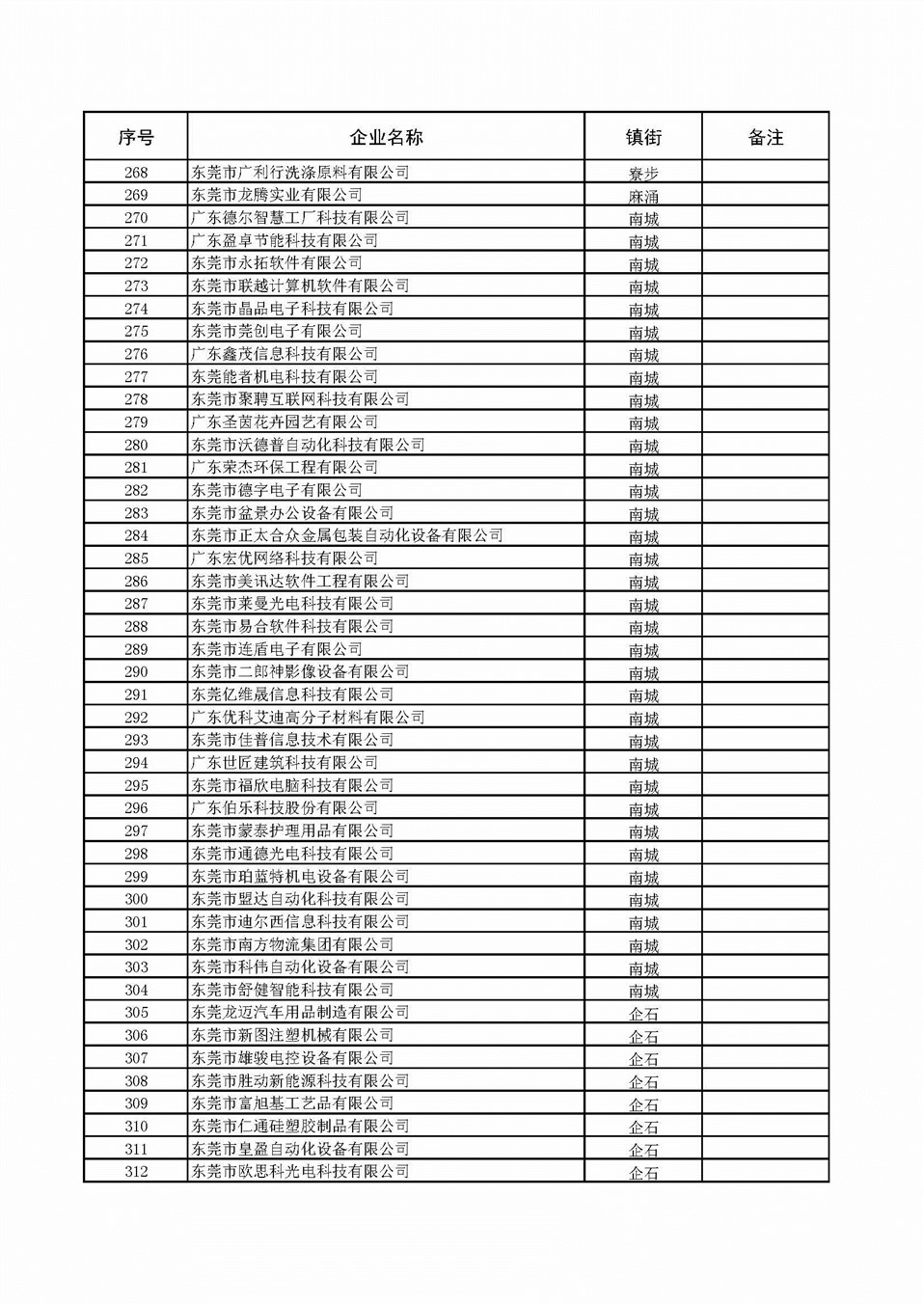
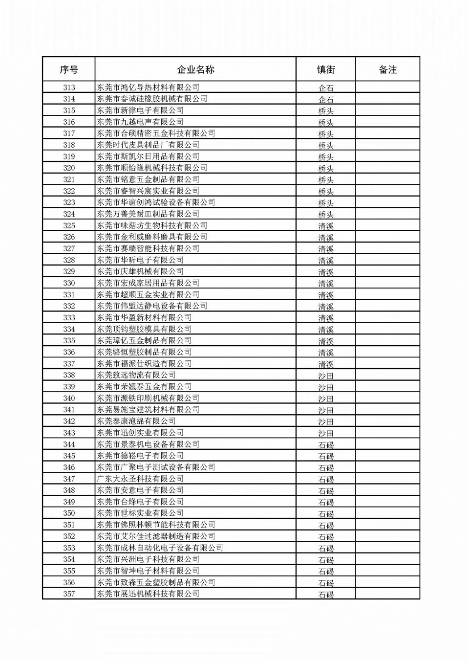
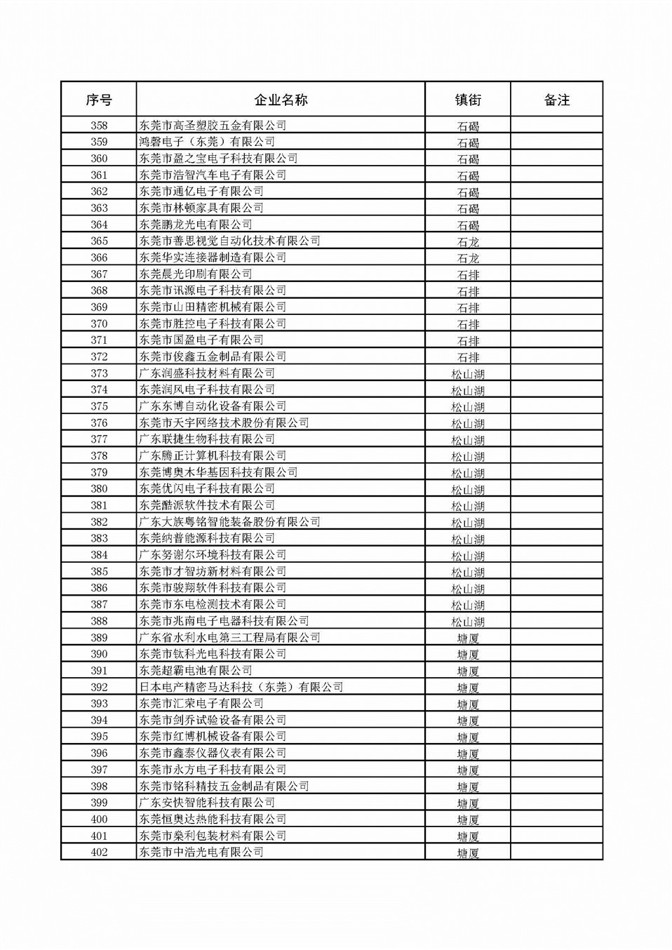
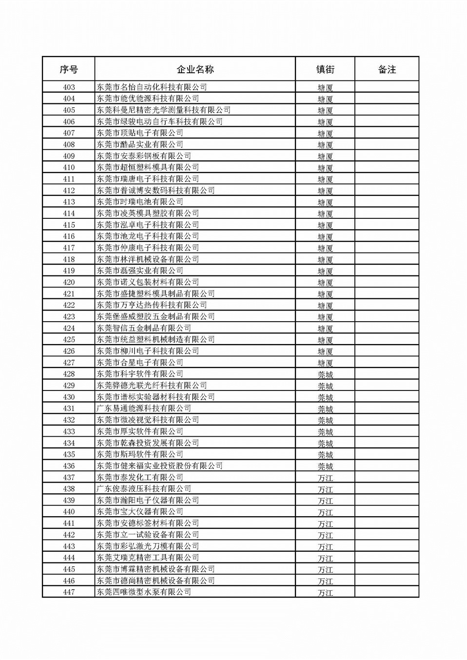
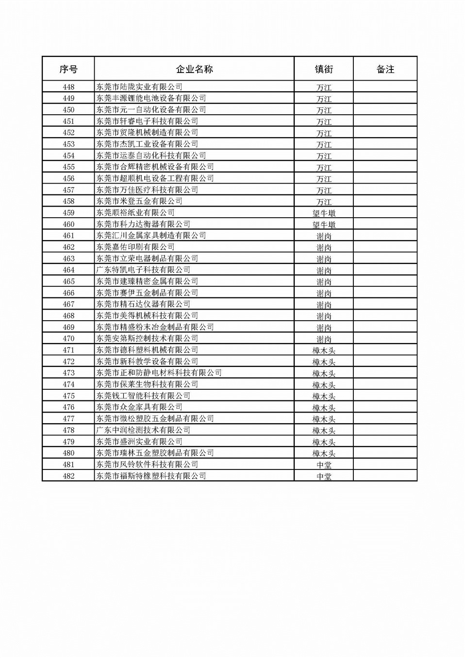
根据《东莞市高新技术企业“育苗造林”行动计划(2015-2017)》(东府办〔2015〕87号)规定,我局拟对2016年进入省高新技术培育库且在库的企业予以奖励,现将拟奖励企业清单向社会公示。 任何单位和个人若对拟奖补项目有异议,可在自公布之日起5日内以书面形式向市科学技术局提出。提出异议的,应当在异议材料上签署真实姓名或加盖单位公章,并注明联系方式。 地址:东莞市莞城区汇峰路1号汇峰中心H座7楼 市科技局高新技术发展及产业化科。邮编:523001。 联系人:钟奕、林锦俊 , 电话:22831332 附件:2016年省高新技术培育入库拟资助名单(公示).xls











东莞市科学技术局 2017年9月23日 |